Covariance Matrix Semi Positive Definite
Cool Covariance Matrix Semi Positive Definite 2022. Geometric intepretation of a covariance matrix 2. The covariance matrix depicts the variance of datasets and covariance of a pair of datasets in matrix format.

The symmetry is obvious from the definition of the covariance matrix. The term covariance matrix is sometimes also used to refer to the matrix of covariances between the elements of two vectors. To achieve my goal, i need.
A Covariance Matrix Of A Normal Distribution With Strictly Positive Entries Is Positive Definite 1 Proving That For A Random Vector $\Mathbf{Y}$, $\Text{Cov}(\Mathbf{Y})$ Is.
It is also not clear how to fix it, while still solving the problem you want to solve. Article how to not make the extended kalman. For a given symmetric matrix , the associated quadratic form is the function with values.
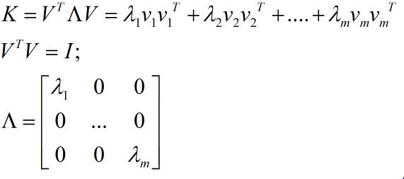
The R Function Eigen Is Used To Compute The Eigenvalues.
Covariances indicates the relationship between feature vectors, a positive covariance means the features moves together and a negative covariance indicates inverse move. Of course, your initial covariance matrix must be positive definite, but ways to check that have been proposed already in previous answers. Proc model out=sim (where= (_rep_ >, 0)) data=histdata sdata=covmat,
If Any Of The Eigenvalues Is Less Than Zero, Then The Matrix.
Let be a random vector and be a random vector. The term covariance matrix is sometimes also used to refer to the matrix of covariances between the elements of two vectors. The symmetry is obvious from the definition of the covariance matrix.
Although By Definition The Resulting.
',not positive definite', is an algebraic statement that some of the variables are linear combinations of one another. The covariance matrix depicts the variance of datasets and covariance of a pair of datasets in matrix format. And it is positive definite unless one variable is an exact linear function of the.
For Example, Suppose X 1 ∼ N ( 0, 1), And X 2 = − X 1.
This covariance matrix is positive semidefinite, but. Geometric intepretation of a covariance matrix 2. This section has 4 parts 1.
Post a Comment for "Covariance Matrix Semi Positive Definite"